Results

Here follows a brief description of the results achieved by the IMPROVE Projects.
In the following we provide details of the activities and related achievements of the project. To aid the reader, we split the section by work packages.
WP1. Large-scale experiments: the boundary control on the dynamics of complex granular flows.
RU1, together with the external project partner, prof. Damiano Sarocchi, coordinated a series of experiments carried out at LAIMA (Laboratorio de Análisis de Imágenes y Modelado Analógico), University of San Luis Potosì, Mexico. The flume facility is composed by a vertical hopper of 0.036 m3 positioned 0.40 m above a 5.0 m long and 0.3 m wide channel with an adjustable inclination ranging between 5° – 45°. At the flume’s end, there is a 2.4 m long and 1.2 m wide spreading box, where the granular flows decelerate and deposit with inclinations varying from 1° to 25°. New sensors including 2 laser depth gauges and 3 highly sensitive pore pressure sensors were used for the first time in these experiments. The pressure sensors measure gas and liquid pressure with an accuracy of 0.1%, recording pressures from 0 mbar to 50 mbar, with a permissible overpressure of 0.75 mbar. They were placed at the flume’s base to obtain non-invasive measurements of the pore pressures. The weight of the material required to fill the hopper was of ca. 45 kg.
Three set of experiments were performed during the period 18/02/2024 – 27/02/2024:
- 1° EXPERIMENTAL SET: the aim of the first set was the study of bidisperse granular flows at changing the ratio between the coarser and the finer solid phases of the analysed mixtures. The flume and the spreading box had an inclination of 30° and 1°, respectively. The channel bottom was covered by panels of plastic PET to minimize the roughness effects on the behaviour of the granular flows. The solid phases constituting the bidisperse systems (with a ratio of 50% of both components) used for these experiments are reported in the table shown below, where particle size is represented in φ unit (𝜑=−log2𝑑(𝑚𝑚)). The experiments were repeated 3 times for each experiment to verify the experimental repeatability. From a preliminary and qualitative analysis, we observed that, the greater dratio (dcoarse/dfine), the lower the runouts of the granular flows.
| dcoarse (φ) | dfine (φ) |
| -1 | 0 |
| -1 | 1 |
| -1 | 2 |
| -1 | 3 |
- 2° EXPERIMENTAL SET: the aim of the second set was to investigate on the flowing properties of bi-disperse granular systems at changing the weight percentage of fine content of the granular mixtures. The roughness and the inclinations of the flume and spreading box are equal to those used in the first experimental set. The bi-disperse system used for this set of experiments was composed of -1 φ and 2 φ and the used percentages by weight are reported in the Table shown below. The runs were repeated 3 times for each experiment. Preliminarily, we observed that increasing the fine content, the runouts of the granular flows decrease. Hence, the finer solid phase, for the used bi-disperse granular flows, seem to act as a brake.
| -1 φ (%) | 2 φ (%) |
| 100 | 0 |
| 75 | 25 |
| 50 | 50 |
| 25 | 75 |
| 0 | 100 |
- 3° EXPERIMENTAL SET: the aim of this experimental set was the study of the roughness effect on the granular flows behaviour, highlighting the relation between the finest solid phase of a granular flow and the coarsest solid phase constituting the basal surface. For these experiments we used bi- and mono-disperse mixtures to better understand the above-mentioned relation. The inclinations of the flume and the spreading box were changed to 40° and 5°, respectively, because the higher internal and wall friction angles of the analysed materials. In this case, the channel and the spreading box bottoms were covered by different monodisperse granular material to obtain the desired roughness. The roughness was obtained by gluing the grains on the mat by means of vinyl glue, which is chemically less aggressive of other glues (Bostik glue and silicon) (Figure 1).

Figure 1.Pictures showing the rough carpet installed in the LAIMA flume.
The roughness and the granular material analysed in this experimental set are reported in the Table shown below. The experiments of bi- and mono-disperse granular flows on the same roughness show an interesting result, i.e. the monodisperse case composed of -1 φ grains has lower runout than bidisperse cases and the monodisperse mixture with particles of 1 φ.
| Type | d (φ) | k (φ) |
| bidisperse | -1 and 1 | 2 |
| bidisperse | -1 and 1 | 0 |
| monodisperse | -1 | 0 |
| monodisperse | 1 | 0 |
| bidisperse | -1 and 1 | -2 |
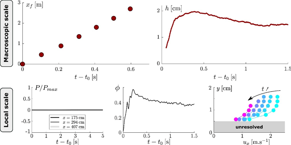
In this experimental campaign, called ‘Mexican Unsteady Fast Flows’, macroscopic and local quantities were measured using cameras, pore pressure sensors, load cells, and laser gauges (Fig. 2).

Figure 2. Sketch showing some of the post-processed experimental data (from the top left to the bottom right: flow-front propagation vs. time; flow thickness vs. time in a specific location of the flume; pore pressure vs. time at three locations along the flume; particle volumetric concentration vs. time at a specific location of the flume; flow velocity profiles from Particle Image Velocimetry at the location of the high-speed video camera.
Data analysis showed that the most important factor affecting the flow dynamics was found to be the bottom boundary condition. More specifically, the presence of a rough bottom drastically reduced the mobility (e.g., front velocity) of granular flows, and deposits are less extensive, compared with a smooth bottom configuration. In addition, another result is that, down to a grain size as small as 125μm, no significant gas pore pressure is generated within granular flows. Furthermore, we found that: 1) the greater dratio and wt%fine (the relative weight of fine material), the lower the velocity and the runout of the granular flows; 2) variations in dratio seem to influence the pore pressure generated at the flow base more than changes in wt%fine even if no values of pore pressure capable of influencing the flow itself were detected; 3) granular mixtures with a wt%fine ≥ 25 % seem to be able to retain air at the flow base maintaining the gas pressures; 4) mixtures at changing dratio and wt%fine result in a different flow evolutions characterized by thickening and thinning alternances and by thick or wedge-shaped flow fronts; 5) a fine-rich basal layer has a dual an opposite effect on the flow mobility on the basis of an initial fluidization of the same one. Hence, the carried out large-scale experiments extended the well consolidated bibliography on the effects of the fine-rich basal layer on the granular flows’ behaviour revealing new insights on its role in the granular flow dynamics. All the results are presented in a paper in preparation (Neglia et al., in preparation). Finally, in light of the experience gained during the experimental campaign carried out in the framework of this project, we resumed the analysis of data from past experiments carried out with the same setup, with the aim at obtaining insight on the propagation of polydisperse granular flows. Specifically, we investigated the effect of grainsize distribution on the runout and deposition of the investigated flows. This resulted in a publication with the partners in Mexico (Sulpizio et al., 2025).
Concerning the experimental activities at the CamiLab of University of Calabria, the two RUs agreed to develop a dam-break release in the large-scale flume. This modification had two advantages: a) it was easy to implement, hence allowing starting with the experimental activities earlier than with the originally designed feeding systems, which would have taken some additional months to be completed; b) allowed exploring from steady to unsteady flow regimes that was not originally planned. With this configuration, in coordination with the experiments in Mexico, we were able to explore a wide range of flow regimes: a) fast unsteady flows with ‘Mexican Unsteady Fast Flows’ campaign at UASLP in Mexico; b) slow unsteady and steady flows at the CamiLab flume with the dam-break release. Furthermore, we developed a small-scale flume (1 m-long and 60 cm-wide) capable of reproducing slow steady and unsteady granular flows and suitable for an accurate estimation of the rheological parameters of granular materials. The granular material used in the experiments was purchased with a grain size ranging from approximately 200 μm to 1 cm, covering four orders of magnitude of the grain size ratio between the granular flow and the rough bottom. Preliminary tests were carried out with these granular materials in the small-scale flume, covering the bottom with different rough carpets made of the same grains (Fig. 3a-b). More specifically, the aim was to measure the thickness of a homogeneous layer of grains, which flows when a slope angle of θ(hstart) was reached and stopping with a thickness of hstop (Fig. 3c), being representative of internal and basal friction.

Figure 3.. a) Image of the small-scale flume equipped with ultrasonic sensors (or laser sensors, not shown here), a backlight, and a rough carpet. b) Different rough carpets made of purchased grains. c) Sketch of a homogeneous layer of grains on a rough bottom, flowing when θ(hstart) is reached and stopping at hstop(θ).
The large-scale flume was equipped with six Keller 9FL piezoresistive pressure sensors, deployed at the bottom of the channel, every metre starting at 50 cm from the backwall. The alignment of the pressure sensor was positioned at 25 cm from the left wall, since we will carry out experiments in the left half section of the channel (50 cm width). Figure 4 shows the pressure sensor installation.

Figure 4. Detail of the pore pressure sensor installation. a) New pressure sensors installed in the left half of the channel. The pressure sensors on the right are pre-existing sensors that will not be used in our experiments. b) Detail of a pressure sensor, with the porous plate on top. The porous plate is designed to prevent particles from entering in direct contact with the sensor, whilst allowing the pressure wave to propagate. c) Photo showing the connection of the sensors to the acquisition system.
The pressure sensors were thoroughly calibrated both statically and dynamically. The static calibration was carried out with the Unomat MCX II / PM calibrator, which is equipped with a pressure transducer with a maximum measurable pressure of 35 kPa. The dynamic calibration was carried out with a piezoelectric reference Kistler 7261 sensor, which has a high sensitivity, connected to a HBK 2635 amplifier. The latter is needed in order to verify the capability of the pressure sensors to operate in an extended frequency band above 30 Hz.
Subsequently, the two RUs conducted an extensive experimental campaign on the small scale flume. The aim of this campaign was to address the first end-member of this project, namely steady granular avalanches on inclines by varying the basal condition (Fig. 5-a). To this end, the grain size (from few hundreds micrometres to few millimetres) and type (building material, volcanic material and glass beads) of the flowing material, as well as the basal roughness (from plexiglass to millimetre-grain glued surfaces) were varied systematically and independently. Both the grain size and roughness were quantified accurately using optical methods (Grain size analysis from threshold images, 3D optical profilometry). These experiments showed that the basal roughness plays a major role in dynamics and deposition of steady granular avalanches, affecting the flow thickness evolution, mass flow rate, and thickness of deposited granular layers Fig. 5-bc). The characterization of the deposited granular layer aimed to identify three distinct basal condition on the basis of the grain-to-roughness size ratio. We could also quantitatively identify different regimes based on the particles to basal roughness ratio. These results were published in Bougouin et al. (2026).

Figure 5. (a) Sketch of the small-scale flume. (b) Deposited layer versus inclination, for millimetre-grains over a rough incline made of the same grains. (c) Deposited layer versus inclination with decreasing the basal roughness, in log-log representation.
The large-scale facility was then equipped with a new dam-break release system. It was constructed in order to feed a flow of up to 0.35 m3 of granular material. The system was obtained by installing a manually-driven 0.5 m-wide and 1 m-high sliding gate that separate the uppermost part of the flume (1 m-long, 0.5 m-wide) and guarantees an opening up to 0.75 m. Fig. 6 shows details of the dam-break installation.

Figure 6. Pictures showing the details of the installation of the gate and opening system constituting the dam-break.
Finally the two RUs carried out a series of large-scale dam-break granular collapse experiments, where the grain size of the flowing material, the typical roughness of the bottom surface, and the flume inclination were varied over a wide range. The collapse dynamics was monitored using the flume’s instrumentation system, including top-view cameras, ultrasonic and laser height sensors, and pore-pressure transducers. The morphology of the final deposits was measured manually along the flume. A first part of the study focused on validation the instrumentation and addressing the primary influence of flume inclination (Fig. 7a, left). A key result of this work was the observation that no gas pore pressure was generated within the flow under the range of parameters considered, which addressed one of the project’s main objectives. An analytical model based on a simplified free-fall-like motion was also developed to predict the main flow quantities, such as the mean front velocity, as well as the deposit characteristics. Subsequently, the range of grain-to-roughness size ratio was extended to investigate more specifically the role of basal condition, while the complete set of experiments is currently being used to validate numerical models (Fig. 7).
WP2. Improvement and validation of numerical models of geophysical flows.
For this work package, unlike what was originally planned in the proposal, RU1 decided to use IMEX_SfloW2D v2 (de’ Michieli Vitturi et al., 2023, hereafter referred to as IMEX for simplicity), a FORTRAN90 code designed to model depth-averaged granular flows over digital elevation models (DEMs) of natural terrain. This code was selected because it allows a great degree of flexibility in the implementation and management of different rheological models for granular and debris flows. The µ(I)-rheological model (Jop et al., 2006) and its more recent improved version (Barker and Gray, 2017) were implemented in IMEX, since this is one of the most widely used models in the context of industrial and natural granular flows simulations. The choice was agreed with RU2, who decided to use the open-source software Basilisk (S. Popinet and collaborators, http://basilisk.fr), which solves partial differential equations using Volume-of-Fluid method with an adaptative grid structure. In addition to its many applications and the enthusiasm of the fluid mechanics community, it includes a Navier-Stokes solver coupled with µ(I)-rheology, allowing to simulate dry granular flows. RU2 performed 2D-simulations of the release of a granular column over a plane – unsteady dam-break – for which the slope angle was varied through the range envisaged with the CamiLab flume, i.e. from horizontal to 35°. A period was devoted to the most appropriate way of extracting the position of the flow front from the height profiles, which is affected by trapped bubbles due to the bottom adherence condition. In order to check the implementation of the µ(I) rheology in IMEX and Basilisk, we carried out a simple dam-break simulation with both models (Fig. 7).

Figure 7. Left – Unsteady dam-break of an initial granular column, defined by its height H0 and length L0, along a plane inclined at θ=15°, simulated with depth-averaged (IMEX) and Navier-Stokes (Basilisk) models. Right – Temporal evolution of the front position at different slope angles, extracted from both models.
Subsequently, RU1 carried out numerical simulations of the small-flume experimental campaign at CamiLab with IMEX. Specifically, the dataset consisted of 24 experiments carried out with different grainsizes dp, basal roughness and slopes α. Given a certain degree of uncertainty in setting the granular material bulk density ρm at rest before the dam-break experiments, which is one of the most important parameters in initializing the simulations with IMEX, a sensitivity analysis was carried out in order to check if the uncertainty in the bulk density affected the simulation outputs, specifically the final deposit thickness h. In the experiments two types of particles with a median grainsize of 0.0026 and 0.00027 m, respectively, were used. For the two granular materials an uncertainty of 3.4% and 6.4%, respectively, was quantified. Two experiments carried out with a slope of 0º and 30º for each granular material were then selected and the simulations were repeated by changing the bulk density based on its uncertainty. Fig. 8 shows the resulting deposit for all the simulations.

Figure 8. Results (deposit thickness vs. distance) for all the simulations carried out in the sensitivity analysis
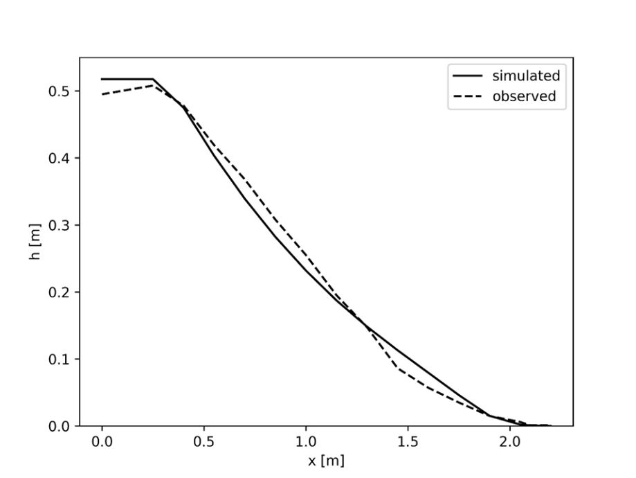
The results shown in fig. 8 prove that the uncertainty in the bulk density do not affect the resulting deposit’s thickness, therefore we could proceed with the simulations. The subsequent numerical simulations aimed at finding, for each experiment producing a deposit, the combination of the three rheological parameters of the µ(I) rheology (μs, μd and I0) that resulted in the best agreement between the observed and simulated deposit thickness along the flume. The final purpose of this preliminary investigation was to compare the values of the three parameters with those measured in the small flume experiments and find the reason of any possible discrepancy. The latter would raise a warning against the typical approach used in geophysical flows simulations, in which the rheological parameters are often estimated a-posteriori by finding the best fit between simulated and observed deposit and then used for hazard simulations. Figure 9 shows an example of the simulated and observed deposit in the best fit simulation of one experiment.

Figure 9. Best match simulation of one experiment. The solid and dashed lines represent the simulated and observed deposit thickness, respectively.
Table 1 lists the resulting three values of the three parameters (μs, μd and I0) obtained in the best-match simulations for all the experiments, together with the main input data and the resulting internal (θ1) and basal (θ2) friction angles. We could see significant variations in the three rheological parameters obtained from the numerical simulations compared with those derived from the experiments. For instance, we find that θ1 is approximately determined by the angle of repose of the granular materials, which remains relatively constant in experiments, and vary significantly in simulations. This raises some questions about the typical approach in setting up rheological parameters for gravity flows in nature for hazard applications, which is by best-matching the simulated vs. observed deposits while varying the rheological parameters systematically.
Table 1. Main input parameters and values of the mu-I rheology parameters for the best match simulation for each experiment.
| ID | H [m] | dp [m] | θr | C | α [°] | μs | θ1 [°] | μd | θ2 [°] | I0 |
| 6 | 0.506 | 0.00260 | 33.3 | 0.572 | 0.0 | 0.9 | 42.0 | 1 | 45.0 | 0.1 |
| 7 | 0.513 | 0.00260 | 33.3 | 0.564 | 10.0 | 0.7 | 35.0 | 1 | 45.0 | 0.1 |
| 8 | 0.498 | 0.00260 | 33.3 | 0.581 | 20.0 | 0.6 | 31.0 | 0.8 | 38.7 | 0.1 |
| 9 | 0.501 | 0.00260 | 33.3 | 0.578 | 30.0 | 0.5 | 26.6 | 0.8 | 38.7 | 0.1 |
| 11 | 0.503 | 0.00027 | 32.2 | 0.587 | 0.0 | 1 | 45.0 | 1 | 45.0 | 0.6 |
| 12 | 0.523 | 0.00027 | 32.2 | 0.564 | 10.0 | 0.8 | 38.7 | 1 | 45.0 | 0.1 |
| 13 | 0.501 | 0.00027 | 32.2 | 0.589 | 20.0 | 0.7 | 35.0 | 0.2 | 11.3 | 0.6 |
| 14 | 0.503 | 0.00027 | 32.2 | 0.587 | 30.0 | 0.6 | 31.0 | 0.5 | 26.6 | 0.9 |
| 16 | 0.496 | 0.00260 | 33.3 | 0.584 | 30.0 | 0.6 | 31.0 | 0.6 | 31.0 | 0.1 |
| 17 | 0.496 | 0.00260 | 33.3 | 0.584 | 30.0 | 0.6 | 31.0 | 0.6 | 31.0 | 0.1 |
| 18 | 0.496 | 0.00027 | 32.2 | 0.595 | 10.0 | 0.8 | 38.7 | 1 | 45.0 | 0.1 |
| 19 | 0.506 | 0.00027 | 32.2 | 0.583 | 0.0 | 1 | 45.0 | 1 | 45.0 | 0.6 |
| 20 | 0.504 | 0.00027 | 32.2 | 0.586 | 20.0 | 0.7 | 35.0 | 0.2 | 11.3 | 1 |
| 21 | 0.504 | 0.00027 | 32.2 | 0.586 | 30.0 | 0.6 | 31.0 | 0.7 | 35.0 | 1 |
| 23 | 0.490 | 0.00260 | 33.3 | 0.590 | 0.0 | 0.8 | 38.7 | 1 | 45.0 | 0.1 |
| 24 | 0.500 | 0.00260 | 33.3 | 0.578 | 20.0 | 0.6 | 31.0 | 0.9 | 42.0 | 0.1 |
| 25 | 0.495 | 0.00260 | 33.3 | 0.584 | 10.0 | 0.7 | 35.0 | 1 | 45.0 | 0.1 |
| 26 | 0.495 | 0.00260 | 33.3 | 0.584 | 30.0 | 0.7 | 35.0 | 0.2 | 11.3 | 0.2 |
| 28 | 0.503 | 0.00027 | 32.2 | 0.587 | 30.0 | 0.6 | 31.0 | 0.7 | 35.0 | 0.9 |
| 29 | 0.493 | 0.00087 | 34.3 | 0.652 | 20.0 | 0.6 | 31.0 | 1 | 45.0 | 0.1 |
In parallel, RU1 and RU2 carried out simulations of the large-scale experimental dataset using two numerical approaches: a Navier-Stokes model (Basilisk) and a depth-averaged avalanche model (IMEX_SfloW2D). Both models implement the μ(I)-rheology, which is commonly used to describe dense granular flows, with input rheological parameters estimated independently through dedicated small-scale experiments. Across rough and variable slopes, both numerical models show good agreement with the large-scale experimental results, although the depth-averaged model is less accurate due to its stronger assumptions (Fig. 10). In particular, the models reproduce the main flow quantities and the final deposit morphologies very well, which is a promising outcome for hazard assessment applications (Fig. 10b). By adjusting the input rheological parameters, the influence of the basal condition also appears to be captured reasonably well by the numerical models, but further investigation of this aspect is currently ongoing (Bougouin et al., in preparation).

Figure 10. (a) Dimensionless temporal evolution of the front position and (b) normalized deposit morphologies for different flume inclinations θ, obtained for experiments (Triangles and lines in grey) and numerical simulations: the Navier-Stokes model (squares and lines in blue) and the depth-averaged model (squares and lines in red).
WP3. Dissemination of technological development and project outcomes.
Concerning the dissemination activities, all the results and updates on the project had been shared via the project’s webpage and the new Instagram page: https://www.instagram.com/prin2022.improve. Furthermore, the two RUs organized the “Workshop on geophysical flows: from the laboratory to the nature” as part of the joint workshop “Workshop on experimental and numerical modelling approaches to investigate gravity flows”, which took place in Bari on 15-17 September 2025 and Rende (CS) on 17-19 September 2025. The workshop was organized in collaboration with another PNRR-funded project (RETURN). The event was also sponsored and supported by the Italian Association of Volcanology (AIV). Details about the workshop, including the full program, can be found in the report of the event, which was attached to Q6’s report and in the dedicated section of the project’s webpage. An article about the workshop was published on the Italian Geological Society journal “Geologicamente”, n. 18, November 2025, page 57. The workshop was attended by thirteen delegates and eleven PhD and Eearly Career Researchers. Six of the delegates were invited from abroad due to their recognized expertise on the topic of geophysical granular flows.
Results were presented in national and international conferences, specifically:
- Neglia, F., Sarocchi, D., Dioguardi, F., Rodriguez-Sedano, L. A., Segura-Cisneros, O., Montenegro-Rios, A., Bougouin, A., Sulpizio, R. (2024). Fine particles and roughness effects on the granular flows mobility: insights from large-scale experiments. 6a Conferenza A. Rittmann. 18-20/09/2024, Catania, Italy.
- Bougouin, A., Neglia, F., Sarocchi, D., Capparelli, G., Nicotra, E., Sulpizio, R., Dioguardi, F. (2024). How does substrate affect the dynamics of volcanic granular flows: Towards small-to-large scale experiments and numerical simulations. 6a Conferenza A. Rittmann. 18-20/09/2024, Catania, Italy.
- Dioguardi, F., Neglia, F., Sarocchi, D., Rodriguez-Sedano, L. A., Segura-Cisneros, O., Montenegro-Rios, A., Bougouin, A., Sulpizio, R., Dellino, P. (2025). Insights on the role of fine particles on the mobility of granular flows from large-scale experiments. EGU General Assembly 2025. 27/04/2025-02/05/2025, Vienna, Austria.
- Bougouin, A., Dioguardi, F., Capparelli, G., Nicotra, E., Sulpizio, R. (2025). How does substrate roughness affect geophysical granular flows? EGU General Assembly 2025. 27/04/2025-02/05/2025, Vienna, Austria.
- Bougouin, A., Dioguardi, F., Capparelli, G., Nicotra, E., Sulpizio, R. (2025). Revealing the key role of the substrate in pyroclastic flows using small-to-large scale experiments. IAVCEI Scientific Assembly 2025. 29/06/2025-04/07/2025, Geneva, Switzerland.
Copies of these presentations were attached in previous quarterly reports.
In this report we also include two presentations that were not originally included in previous reports.
- Capparelli, G. (2025). Master Training on Integrated Actions and Outreach for Hydrogeological Risk Mitigation. Laboratory of Environmental Cartography and Hydrogeological Modelling. ICL-UNESCO KLC2020 Memorial Conference, 3-4/12/2025, UNESCO Headquarters, Paris, France. (Attachment 3).
- Capparelli, G. (2025). Un laboratorio multifunzionale su larga scala per i flussi gravitazionali. Rischi naturali di Infrastrutture e Strutture, 14/05/2025, Reggio Calabria, Italy. (Attachment 4).
Finally, all the project data had been made available to the public on this Zenodo repository: https://doi.org/10.5281/zenodo.19398138.
Work carried out with other partners relevant to the topics of this project
The rheology of natural granular materials was also investigated in the laboratory of University of Bari with an Anton-Paar MCR702e rheometer. Specifically, we investigated on the failure (flow initiation) conditions of volcanic materials at different humidity conditions (Pace et al., submitted) and defined a protocol for defining the rheology of wet granular flows (Tranquilino et al., 2025), with a first rheological law also presented.
Bibliography
Barker T, Gray JMNT. Partial regularisation of the incompressible 𝜇(I)-rheology for granular flow. Journal of Fluid Mechanics. 2017;828:5-32. doi:10.1017/jfm.2017.428.
Bougouin, A., Dioguardi, F., Capparelli, G., Trausi, D., Clausi, G., Nicotra, E., Sulpizio, R. (2026). Dam-Break Granular Collapses on Various Slopes and Substrates: Large-Scale Experiments and Numerical Modelling. Landslides, in preparation.
Bougouin, A., Dioguardi, F., Capparelli, G., Nicotra, E., Sulpizio, R. (2026). Revealing the effective basal condition of geophysical granular avalanches. Journal of Geophysical Research Earth Surface. International Journal of Multiphase Flow, 198, 105648, https://doi.org/10.1016/j.ijmultiphaseflow.2026.105648.
Bougouin, A., Dioguardi, F., Capparelli, G., Trausi, D., Clausi, G., Nicotra, E., Sulpizio, R. (2026). A Multi-Purpose Large-Scale Laboratory Flume for Gravity-Driven Flows. Progress in Landslide Research and Technology, Volume 5 Issue 1, accepted.
de’ Michieli Vitturi M, Esposti Ongaro, T, Engwell SL. IMEX_SfloW2D v2: a depth-averaged numerical flow model for volcanic gas–particle flows over complex topographies and water. Geoscientific Model Development. 2023;16:6309–6336. https://doi.org/10.5194/gmd-16-6309-2023
Jop P, Forterre Y, Pouliquen O. A constitutive relation for dense granular flows. Nature. 2007;44: 727–730.
Neglia, F., Sarocchi, D., Dioguardi, F., Rodriguez-Sedano, L. A., Montenegro Rios, A., Segura-Cisneros, O., Sulpizio, R., Dellino, P. (2026). Fine-particles effects on the granular flows mobility: insights from large-scale experiments. Journal of Geophysical Research Solid Earth, in preparation.
Pace, L., Dioguardi, F., Gentile, L., Lacalamita, M., Capparelli, G., Sulpizio, R., Dellino, P. (2026). Volumetric Water Content and Shear Failure of Volcanic Ash: Evidences from Powder Shear Cell Analyses. Environmental and Engineering Geoscience, submitted.
Sulpizio, R., Meschiari, S., Sarocchi, D., Neglia, F., Rodriguez-Sedano, L. A., Lucchi, F., Segura-Cisneros, O., Dioguardi, F., Barrientos, B. (2025). The influence of grain size and channelization on mobility of volcanic granular flows: insights from laboratory experiments. Bulletin of Volcanology, 87, 110, https://doi.org/10.1007/s00445-025-01899-w.
Tranquilino, C., Dioguardi, F., Gentile, L., Dellino, P., Caballero, L., Sarocchi, D., Lacalamita, M. (2026). An experimental method for measuring the rheological behavior of slurry suspensions. Applied Rheology, ApplRheol-D-25-00040.
b) description of potential changes to what has been originally approved mentioning the impacts on the aim of the intervention, on the achievement of intermediate and longterm goals, on the proposed actions for improvement;
As discussed in the previous quarterly reports, the feeding system of the experimental setup at CAMILab (University of Calabria) was thoroughly reviewed after the kick-off meeting and the two RUs decided to construct a dam-break release system that will allow investigating both unsteady releases and achieving steady flows by controlling the gate opening height. Furthermore, the availability of the LAIMA laboratory of UASLP in Mexico provided another mitigating factor and an opportunity to investigate a larger range of flow regimes, as mentioned in the previous reports.
In the approved proposal, the two RUs planned to organize a PhD school and a workshop. After thorough review of the available budget and the calendar of conference and similar initiatives in 2025, the RUs decided to arrange a single event in the form of a workshop with a day of lectures from the invited experts and a day dedicated to PhD students and Early Career Researchers presenting their work. Consequently, the budget was revised and the budget originally allocated to milestone 3.3. “Workshop for researchers of other institutions/fields” was partially moved to the milestone 3.4 “Workshop on geophysical flows: from the laboratory to the nature”, leaving just the budget of the item A.1 to reflect the time spent in the original organization.
All the above were concluded in line with the currently recorded timeline.






